Are you looking for a free, downloadable AP Calculus FRQ worksheet in PDF format? Look no further! We’ve got you covered with a helpful resource to practice your calculus skills and ace that exam.
Whether you’re a high school student preparing for the AP Calculus test or a college student brushing up on your skills, our AP Calculus FRQ worksheet PDF is a valuable tool to help you succeed.
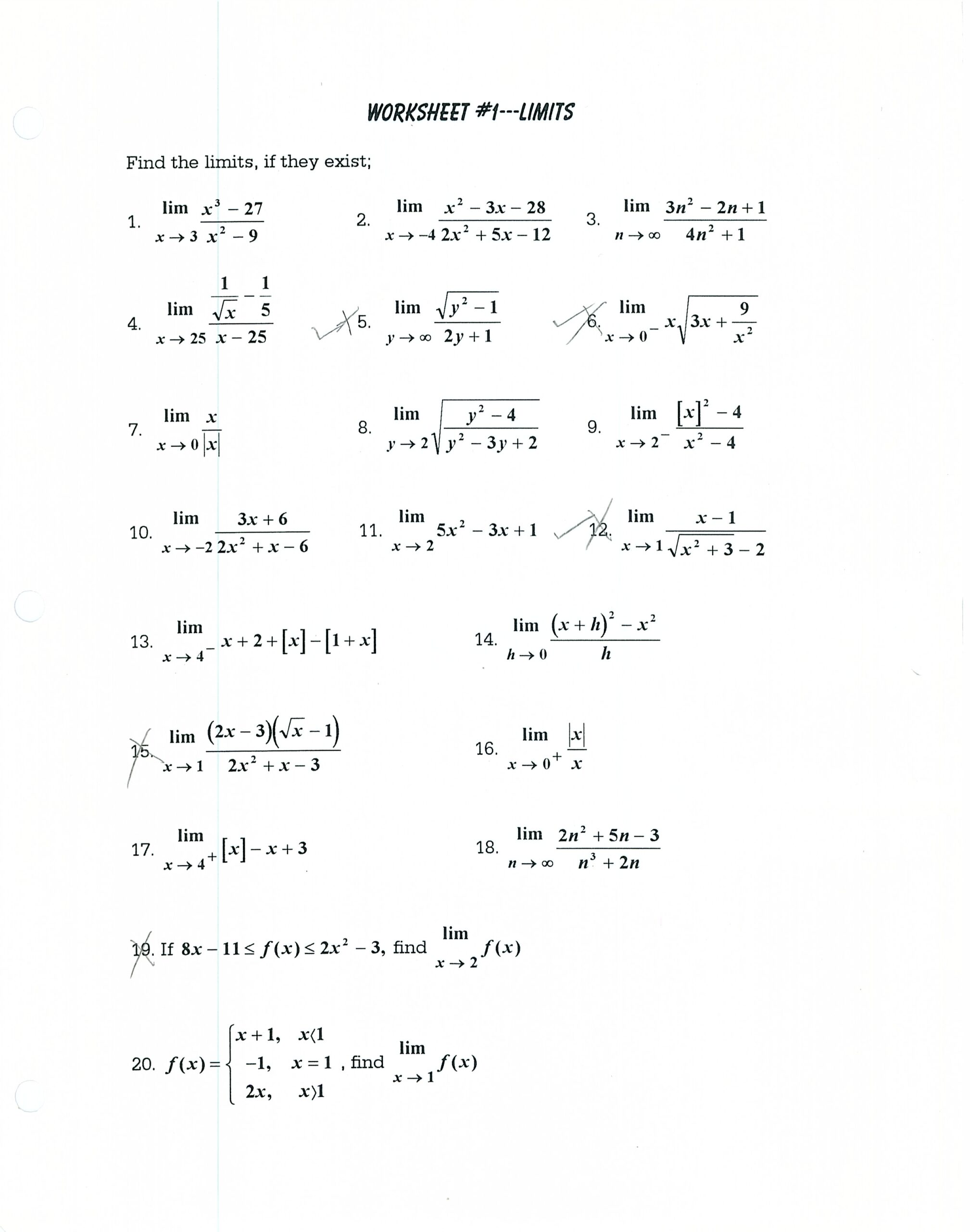
ap calculus frq worksheet pdf
Mastering AP Calculus FRQ Worksheet PDF
Our AP Calculus FRQ worksheet PDF includes a variety of challenging problems that will test your understanding of calculus concepts such as derivatives, integrals, limits, and more. With detailed solutions provided, you can easily check your work and learn from your mistakes.
Practice makes perfect, so make sure to work through the AP Calculus FRQ worksheet PDF multiple times to strengthen your problem-solving skills and build confidence for the exam. Don’t hesitate to seek help from your teachers or peers if you get stuck on any questions.
By regularly practicing with our AP Calculus FRQ worksheet PDF, you’ll be well-prepared to tackle any calculus problems that come your way. Remember, consistency is key, so set aside some time each day to work on your calculus skills and watch your confidence soar.
So, what are you waiting for? Download our AP Calculus FRQ worksheet PDF today and take your calculus skills to the next level. With dedication and practice, you’ll be on your way to acing that AP Calculus exam in no time!
MasterMathMentor Calc
Ap Calculus Cheat Sheet Download Printable PDF Templateroller
Assignments Flick s AB Calculus
AP Calculus AB Cheat Sheet Free PDF Unit Wise Examples
AP Calculus AB Cheat Sheet Free PDF Unit Wise Examples





