If you’re looking for a fun way to practice composition of functions, a composition of functions worksheet can be a great resource. These worksheets are designed to help you understand how different functions can be combined to create new functions.
By using these worksheets, you can improve your problem-solving skills and gain a better understanding of how functions work together. Whether you’re a student studying math or a teacher looking for extra practice for your students, these worksheets can be a valuable tool.
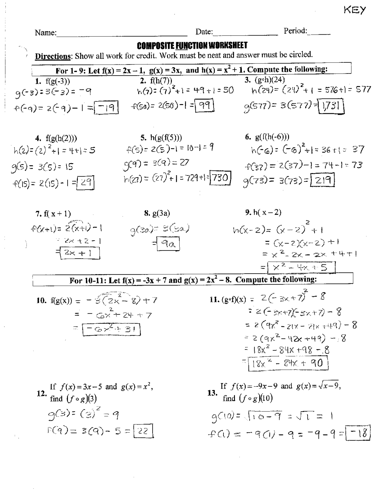
composition of functions worksheet
Exploring Composition of Functions Worksheet
With a composition of functions worksheet, you can work through various problems that require you to compose different functions. This process involves taking the output of one function and using it as the input for another function.
By practicing with these worksheets, you can enhance your ability to identify patterns and relationships between different functions. This can help you build a strong foundation for more advanced math concepts in the future.
Whether you’re new to composition of functions or looking to sharpen your skills, these worksheets can provide a hands-on approach to learning. So, why not give them a try and see how they can help you master this important mathematical concept?
In conclusion, using a composition of functions worksheet can be a fun and effective way to improve your understanding of how functions work together. By practicing with these worksheets, you can enhance your problem-solving skills and gain confidence in your math abilities. So, give them a try and see the difference they can make in your learning journey!
Edia AI Platform For Student Outcomes
Composite Functions Worksheet With Answers Exercises Algebra Docsity
Composition Of Functions Worksheets Worksheets Library
Composite Functions B Worksheet Algebra II PDF Worksheets Cazoom Math
Edia AI Platform For Student Outcomes





