Math can be a tricky subject, but with the right tools, it can become much easier to understand. One such tool is the factorisation by grouping worksheet, which can help students break down complex equations into simpler parts.
By using this worksheet, students can learn how to factorise expressions by grouping terms with common factors together. This method can make solving equations more straightforward and less intimidating, allowing students to build their confidence in math.
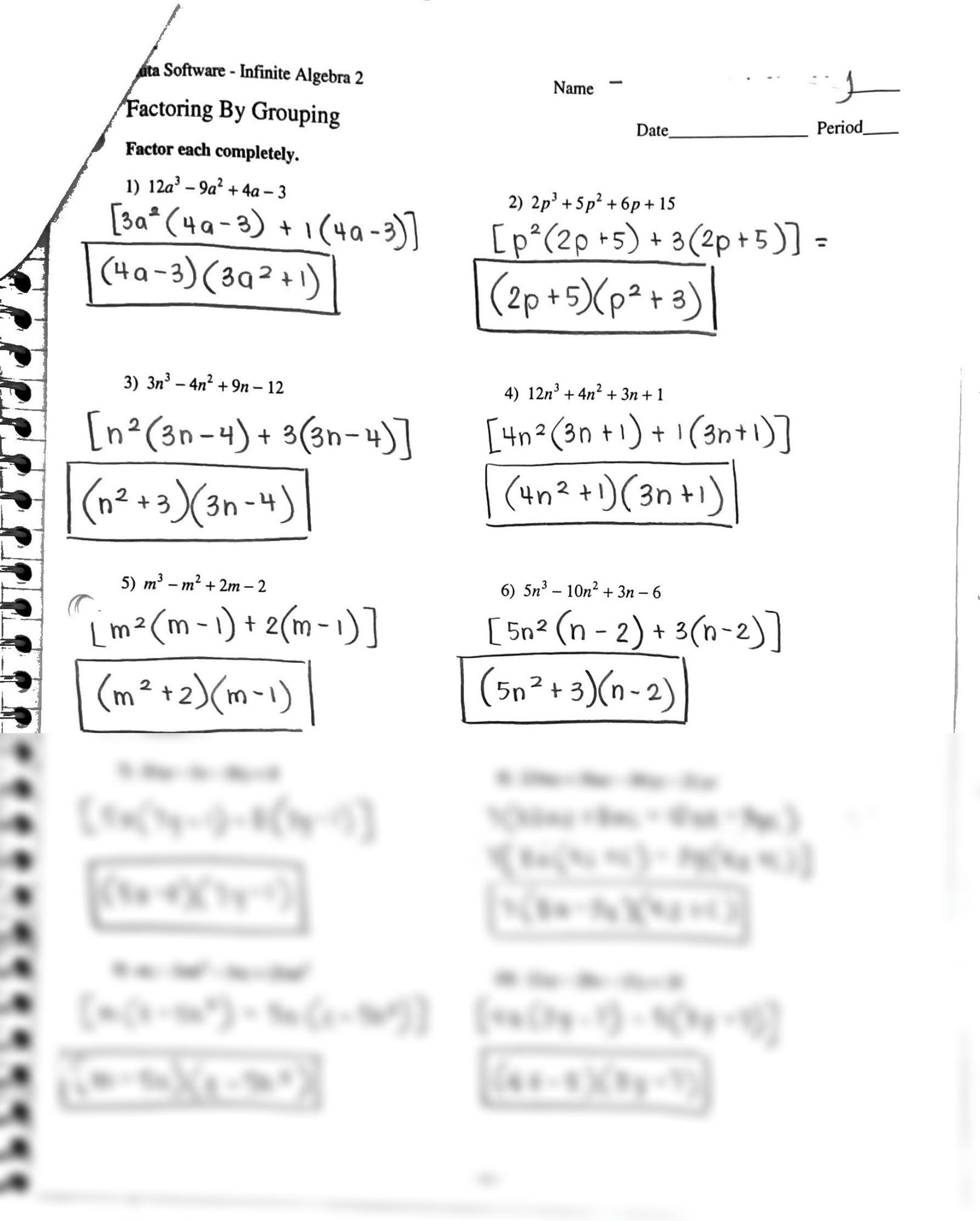
factorisation by grouping worksheet
Unlocking the Power of Factorisation by Grouping Worksheet
With the factorisation by grouping worksheet, students can practice identifying common factors within expressions and simplifying them. This process can help them see patterns and relationships within equations, making it easier to tackle more complex math problems in the future.
By breaking down equations into smaller, more manageable parts, students can build a solid foundation in algebra and improve their problem-solving skills. The factorisation by grouping worksheet is a valuable resource for students looking to strengthen their math abilities and excel in their studies.
Overall, the factorisation by grouping worksheet is a handy tool that can make math more accessible and enjoyable for students. With practice and dedication, students can master the art of factorisation and become more confident in their mathematical abilities.
So, next time you’re faced with a challenging math problem, remember the power of factorisation by grouping worksheet. It could be the key to unlocking your full potential in math!
SOLUTION Kuta Software Infinite Algebra 2 Factoring By Grouping Worksheets Library
Quiz Worksheet Steps For Factoring By Grouping Study
Factoring Polynomials By Grouping Worksheet with Solutions Teaching Resources
Factoring Polynomials Worksheet Library Mashup Math
Worksheet Factoring By Grouping Worksheet Worksheets Library





