Conic sections might sound like a complex math topic, but they actually have real-world applications that can help us understand the world around us. From designing bridges to tracking the paths of planets, conic sections play a crucial role in various fields.
One way to practice and reinforce your knowledge of conic sections is by using a worksheet. A real-world applications of conic sections worksheet can help you see how these mathematical concepts are used in different scenarios, making learning more engaging and practical.
real world applications of conic sections worksheet
Exploring Real-World Applications of Conic Sections with a Worksheet
By working through problems on a worksheet, you can see firsthand how conic sections are used to model everything from the shape of a satellite dish to the trajectory of a basketball shot. This hands-on approach makes learning math more enjoyable and memorable.
Furthermore, practicing with a real-world applications of conic sections worksheet can improve your problem-solving skills and critical thinking abilities. As you tackle different scenarios, you’ll learn to analyze data, make connections between theory and practice, and apply your knowledge creatively.
Whether you’re a student looking to ace your math exam or a curious learner eager to explore the practical side of conic sections, a worksheet can be a valuable tool. It offers a structured way to deepen your understanding of mathematical concepts while discovering their relevance in the real world.
So, next time you want to sharpen your math skills and see the power of conic sections in action, grab a real-world applications of conic sections worksheet and start exploring. You’ll be amazed at how these seemingly abstract concepts can help us make sense of the world we live in.
Conic Sections Applications Math Lib Activity All Things Algebra
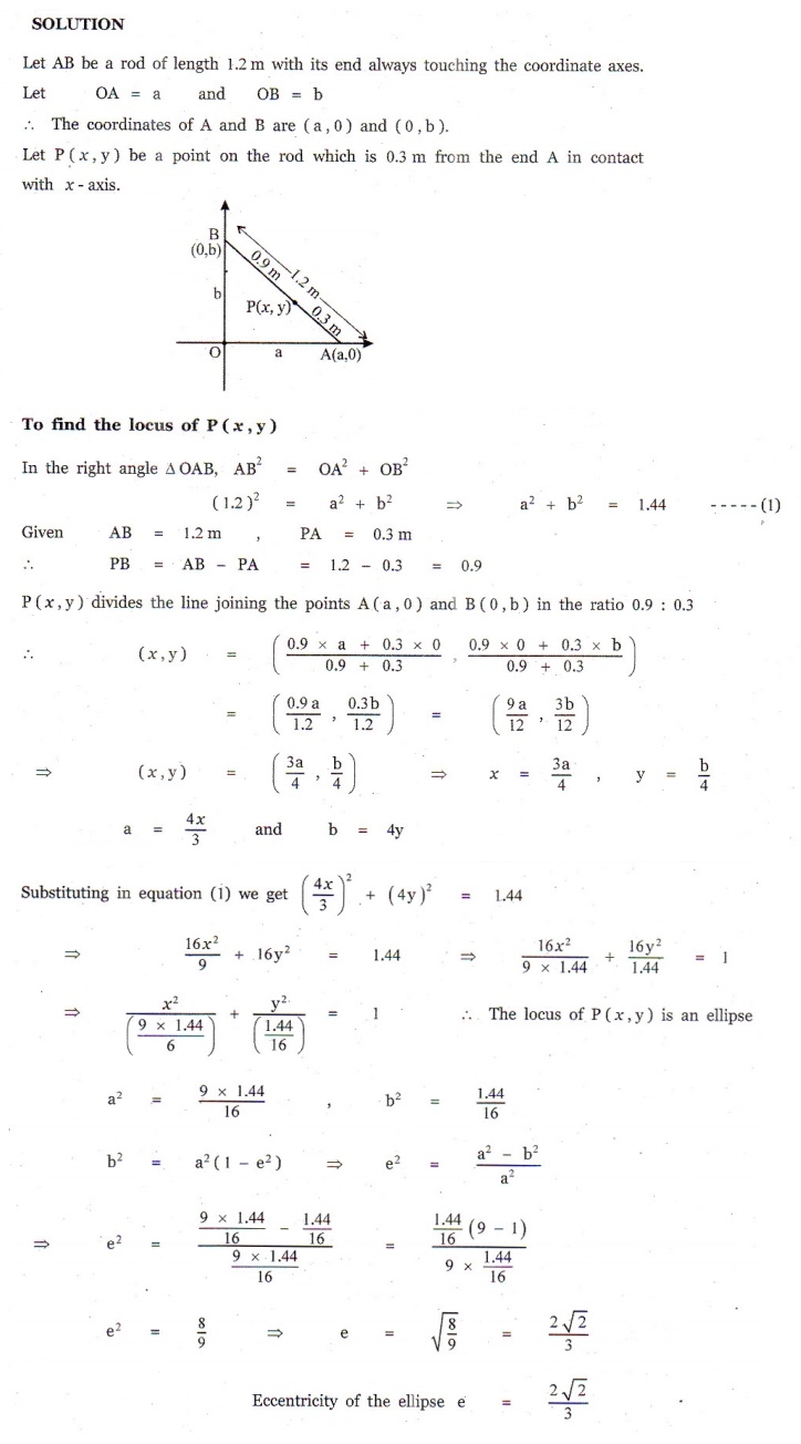
Exercise 5 5 Real Life Applications Of Conics Problem Questions With Answer Solution
Conic Sections Applications Math Lib Activity All Things Algebra
Conic Sections Applications Math Lib Activity All Things Algebra
Day 3 HW 11 Circle Word Problem Is The Cell Phone Inside The Range Of Coverage YouTube





