Are you struggling with solving word problems involving logarithms? Look no further! In this article, we will provide you with a worksheet that includes various word problems solved using logs.
Logarithms can be tricky to work with, but with practice and guidance, you can master them. This worksheet is designed to help you understand how to apply logarithms to real-world situations and improve your problem-solving skills.
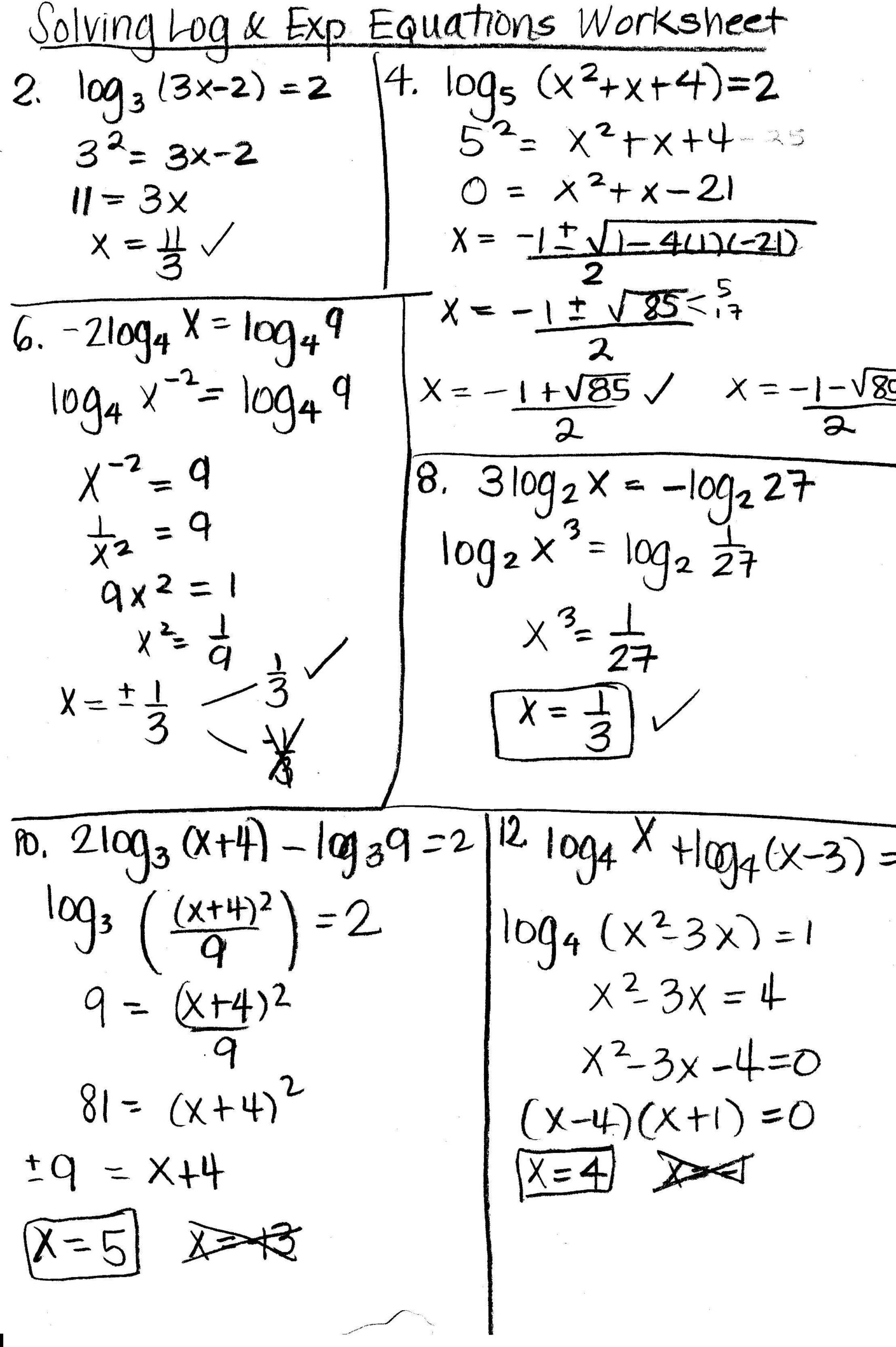
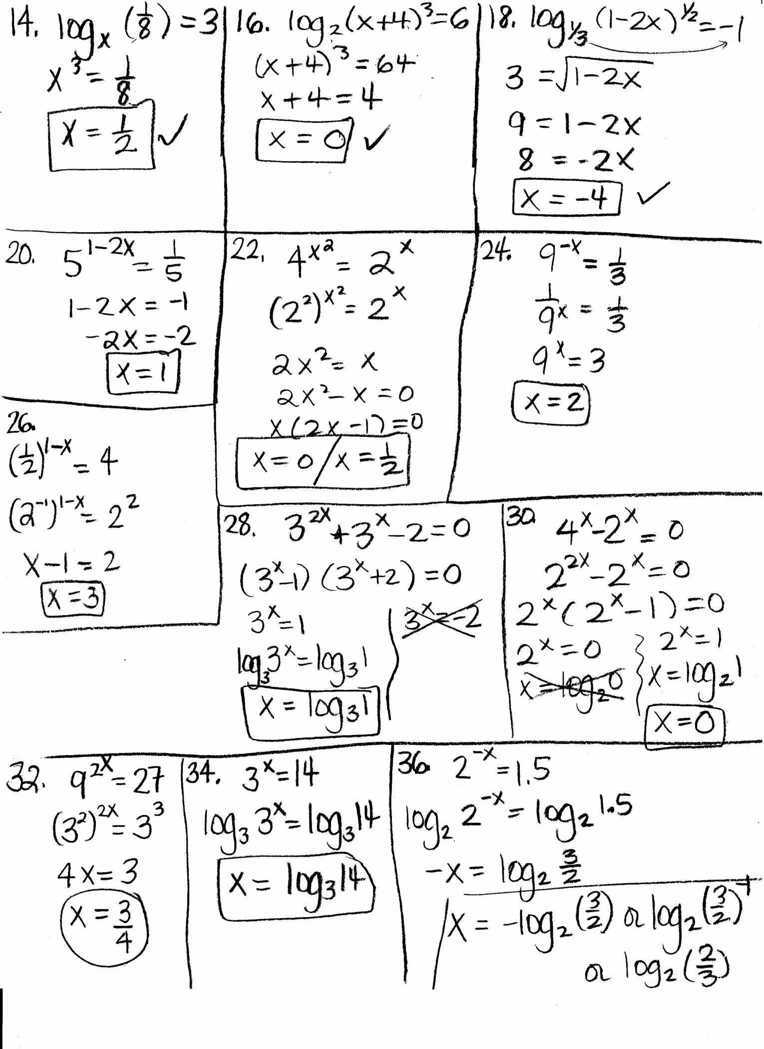
worksheet with word problems solved with logs
Worksheet with Word Problems Solved with Logs
Each problem in the worksheet is carefully crafted to challenge your understanding of logarithms and how they can be used to solve complex problems. By working through these exercises, you will gain confidence in your ability to tackle logarithmic equations.
From calculating the growth rate of bacteria to determining the amount of time needed for an investment to double, these word problems cover a wide range of scenarios where logarithms are essential for finding the solution.
Don’t let logarithmic equations intimidate you any longer. With this worksheet, you will have the opportunity to practice solving word problems involving logs until you feel comfortable and confident in your abilities. Remember, practice makes perfect!
So, grab a pencil, sharpen your mind, and dive into the world of logarithmic word problems. You’ll be amazed at how quickly you can improve your skills and tackle even the most challenging logarithmic equations with ease. Happy problem-solving!
Addition And Subtraction Word Problems Worksheets For Kindergarten And Grade 1 Story Sums Story Problems MegaWorkbook
Edia AI Platform For Student Outcomes
Solving Logarithmic Equations Worksheet Word Problem Worksheets Worksheets Library
Addition Word Problems 2nd Grade
Solving Log Equations Worksheet Key Word Problem Worksheets Worksheets Library





